
ARTÍCULO CIENTÍFICO
ISSN-L: 1659-3197
PHYSICOCHEMICAL AND MICROBIOLOGICAL QUALITY OF WATER AT THE JOINT MOUTH OF THE PLAYITA AND PAVO RIVERS IN ARENAS DE QUEBRO (VERAGUAS, PANAMA)
1Universidad de Panamá, Centro Regional Universitario de Veraguas; Facultad de Ciencias Naturales, Exactas y Tecnología, Panamá jose.him@up.ac.pa https://orcid.org/0000-0002-7872-4098
2Universidad de Panamá, Centro Regional Universitario de Veraguas; Facultad de Ciencias Naturales, Exactas y Tecnología. Panamá. zimri.fuentes@up.ac.pa https://orcid.org/0009-0004-6676-0931
3 Ministerio de Educación de Panamá, Colegio Padre Segundo Familiar Cano, Panamá yamy.villarreal@meduca.edu.pa https://orcid.org/0009-0003-4053-9748
INFORMACIÓN SOBRE EL ARTÍCULO
Recibido: 23 de julio 2023 | Aceptado: 15
enero 2025 | Publicado: 30-abril 2025.
Como citar este documento: Him F., J.J., Fuentes Z. y Villarreal Y. 2025. Calidad fisicoquímica y microbiológica del agua en la desembocadura conjunta de los riós Playita y Pavo en Arenas de Quebro (Veraguas, Panamá).
Autor corresponsal: José J. Him Fábrega, Universidad de Panamá, jose.him@up.ac.pa,
Contribución de los autores: Los autores de este trabajo declaran haber participado en la realización de este proyecto de investigación en todas sus etapas, búsqueda de información y redacción del artículo.
Editor: Alonso Santos Murgas.
ABSTRACT: The rivers that flow into the Gulf of Montijo in Veraguas (Panama) have a significant impact on this ecosystem. These rivers include the Playita and Pavo rivers in southern Mariato. Physicochemical and microbiological tests were conducted at their mouths. Microbiological tests used enterococci as indicators of fecal contamination. The objective of this study was to measure some of these factors, particularly the degree of fecal contamination in these rivers. Field trips were conducted during the rainy season of 2021 and the dry season of 2022. Surface water samples were taken, a total of five in each season. The samples were analyzed in the field for physicochemical factors (pH, temperature, conductivity, and total dissolved solids), and other samples in sterile containers at 7°C were taken to the microbiology laboratory of the Veraguas Regional University Center. These samples were analyzed for Enterococcus spp. using the Enterolert-DW system. Statistical tests were applied to the data using SPSS software. No significant differences were observed across sampling sites, but differences were observed when separated by season. Total dissolved solids, conductivity, and temperature were highest during the dry season. The pH was higher during the rainy season. Enterococcus counts remained the same across sampling sites and seasons and did not exceed the risk limits established for recreational activities in these rivers. These results are useful for monitoring pollution in these rivers as they flow toward the mouth of the Gulf of Montijo, which is important for the authorities' actions in managing the area.
KEYWORDS: Coiba, Enterococcus, Gulf of Montijo, microorganisms indicating fecal contamination, Panama, River water quality.
RESUMEN: Los ríos que desembocan en el Golfo de Montijo en Veraguas (Panamá) tienen gran repercusión en este ecosistema. Entre estos ríos se encuentran los ríos Playita y Pavo en el sur de Mariato. En su desembocadura se hicieron pruebas fisicoquímicas y microbiológicas. Entre las pruebas microbiológicas se utilizan los enterococos como indicadores de contaminación fecal. El objetivo de este estudio fue medir algunos de estos factores, sobre todo el grado de contaminación fecal de estos ríos. Se hicieron giras durante la época lluviosa de 2021 y la época seca de 2022. Se tomaron muestras de aguas superficiales, un total
de cinco muestras en cada época. Las muestras fueron analizadas en campo para los factores fisicoquímicos (pH, temperatura, conductividad y sólidos disueltos totales) y otras muestras en envases estériles a 7 °C fueron llevadas al laboratorio de microbiología del Centro Regional Universitario de Veraguas. Estas muestras fueron analizadas por el sistema Enterolert-DW para Enterococcus spp. A los datos se les aplicaron pruebas estadísticas con el programa SPSS. No se observaron diferencias significativas en los sitios de muestreo, pero si se presentó diferencia al separarlas por época del año. Los sólidos disueltos totales, la conductividad y la temperatura fueron más altos en la época seca. El pH resultó mayor en la época lluviosa. Los recuentos de enterococos se mantuvieron iguales con respecto a sitios de muestreo y épocas del año, y no sobrepasaron los límites de riesgo establecidos para las actividades de recreación de estos ríos. Estos resultados sirven para monitorear la contaminación de estos ríos en su trayecto hacia la desembocadura en el Golfo de Montijo, lo cual es importante para las acciones de las autoridades en el manejo de la zona.
PALABRAS CLAVE: Calidad de aguas de río, Coiba, Enterococcus, Golfo de Montijo, microorganismos indicadores de contaminación fecal, Panamá.
La calidad de las aguas de ríos ha sido monitoreada por muchos años en diferentes partes del mundo (Badilla- Aguilar & Mora-Alvarado 2019a; Pauta et al. 2019; Campaña, Gualoto & Chiluisa-Utreras 2017; Chan- Quijano et al. 2013; Calvo, Mora & Mora-Molina 2012; Toro et al. 2002). El monitoreo de las aguas de los ríos se hace cada vez más necesario por las descargas domésticas e industriales que causan una contaminación creciente de estos ecosistemas (Cutillas, Álvarez, Ortega, García & Cabañero 2019; Campaña et al. 2017). Por estas razones, se escogieron dos ríos en el sur de Veraguas (Panamá) que tienen una desembocadura conjunta hacia el Golfo de Montijo; se trata de los ríos Pavo y Playita. Estos ríos, al igual que otros que también desembocan en el Golfo de Montijo, contribuyen en la calidad del ecosistema marino del Golfo.
Los problemas causados por esta contaminación son varios; el deterioro de los ríos, el aumento de los organismos patógenos en las aguas de los ríos y de los mares donde desemboca (Han, Tian & Zhang 2025; Cabot, Piccini, Inchausti, de la Escalera & García- Alonso 2024), los contaminantes que arrastran los ríos son llevados al mar y a las playas cercanas a su desembocaduras (Badilla-Aguilar & Mora-Alvarado, 2019b; Mora-Alvarado, Vega-Molina, & González- Fernández, 2019; Morales, 1999), entre otros. Está establecido que los mayores problemas de las aguas contaminadas están en las infecciones que puedan causar virus, bacterias, protozoos o gusanos parásitos (Han et al. 2025). El uso de ríos y playas como recreación presenta el problema de que estos sitios
pueden estar contaminados con microorganismos patógenos que no solo contagian a las personas por ingerir agua, sino también por inhalar aerosoles por entrada de agua en oídos y nari (Bourli, Eslahi, Tzoraki & Karanis 2023; González-Fernández et al. 2023; Vanden Esschert et al. 2020; Mora-Alvarado et al. 2019).
Para detectar la contaminación de aguas se usan parámetros fisicoquímicos y microbiológicos. Entre los fisicoquímicos están el pH, la temperatura, conductividad y los sólidos disueltos totales (SDT), los cuales dan una idea de algunos problemas que puedan tener los cuerpos de agua; aunque existen otros de igual o mayor importancia como son el oxígeno disuelto, el DBO, DQO, entre otros. En los microbiológicos tradicionalmente se han utilizado a los coliformes totales y fecales, siendo estos últimos la norma a seguir. También se usan otros microorganismos indicadores como los Enterococcus fecales (Castillo, Fontalvo & Borja 2018a; Pérez et al. 2014), los cuales han sido probados en su eficiencia como indicadores de contaminación por material fecal; es más, se ha indicado que la detección de enterococos define el origen de contaminación fecal humano (Pauta-Calle et al., 2020; Pauta et al., 2019) por lo que aconsejan utilizarlos en este tipo de estudios. Estos análisis contribuyen al monitoreo de las aguas que fluyen en los ríos y que al final llegan a las costas y playas.
El objetivo de la presente investigación fue la de determinar la calidad del agua de los ríos Playita y Pavo en su desembocadura, mediante la medición de algunos factores fisicoquímicos y microbiológicos. Los datos obtenidos se suman a otras investigaciones similares de ríos que desembocan en el Golfo de Montijo en Veraguas, Panamá. Estos datos podrán ser útiles para la
toma de decisiones de las autoridades al momento de para conservar estos ecosistemas que influyen en los sistemas acuáticos y en la recreación de la población.
Los ríos Playita y Pavo se encuentran en el sur del distrito de Mariato en la provincia de Veraguas en la región central de Panamá. Las muestras se tomaron en la porción final de cada río y en la unión de ambos en su desembocadura (Figura 1).
Para obtener muestras de los sitios señalados, frascos de vidrio con tapa de rosca fueron esterilizados con una
autoclave vertical (121 °C, 15 lb/pulg2) y llevados al área de estudio junto con neveras pequeñas que contenían paquetes planos de 15 x 10 x 2 cm con gel congelante. También se llevaron otros recipientes no estériles para hacer análisis en campo de los factores fisicoquímicos. En cada sitio de muestreo se puso el frasco de muestreo abierto en posición contracorriente en la superficie del cuerpo de agua, a unos cinco centímetros de profundidad. El sitio 1 correspondía al río Playita, el sitio 2 a la unión de los dos ríos en su descarga al mar y el sitio 3 al río Pavo. Los recipientes estériles se usaron para las muestras microbiológicas y los no estériles para las muestras fisicoquímicas.
En cada sitio se tomaron cinco muestras en la época lluviosa (mayo a junio) y cinco muestras en la época seca (enero a marzo) del año. Para la muestra microbiológica se obtuvieron tres mues tras de unos 200
Figura 1.
Ubicación geográfica de los sitios de muestreo para el análisis de parámetros fisicoquímico y bacteriológico en los ríos Pavo, Playita y la Unión de los ríos Playita y río Pavo, Provincia de Veraguas.
![]() |
Nota: Coordenadas de los sitios muestreados en la desembocadura del río 1 Río Playita, 7° 21´12.9¨ N y 80° 53´ 44.0¨W; 2 Unión de los ríos Playita y Pavo 7° 21´12.8¨ N y 80° 53´ 46.1¨W; 3 río Pavo 7° 21´12.1¨ N y 80° 53´ 47.1¨W. Fuente: Imagen adaptada de Google Earth.
mL en envases de 250 mL y luego homogeneizados en otro envase de mayor capacidad (unos 500 mL) para obtener la muestra definitiva que era colocada en una nevera y mantenida a unos 8 °C. Esta muestra final fue transportada el mismo día al laboratorio de microbiología del Centro Regional Universitario de Veraguas (CRUV).
En cada sitio, otra muestra fue tomada para determinar los valores fisicoquímicos. Para el análisis de oxígeno disuelto (OD), pH, y sólidos disueltos totales (SDT) se utilizó un envase de vidrio y para la conductividad un envase de plástico. Estas medidas se hicieron con un equipo Combo pH & EC Hanna). Las unidades de medida obtenidas fueron para OD y SDT en ppm y para la conductividad fue en µS/cm.
Las muestras en el laboratorio fueron homogeneizadas por agitación y se midió exactamente 100 mL, a los que se le agregó el reactivo para Enterolert-DW®. La mezcla fue homogeneizada por agitación y vertida a una bandeja Quanti tray/2000® que fue colocada en el sellador de Quanti tray®. Cada bandeja se llevó a incubación a 37
°C por 24 horas. Después de la incubación las bandejas fueron leídas en una cámara oscura con luz ultravioleta para observar la reacción del reactivo con las bacterias estudiadas (Enterococcus). Una fluorescencia azul fue anotada como positivo. Los pocillos positivos fueron contados y el resultado se leyó en una tabla de número más probable (NMP).
Los resultados fueron analizados con el programa estadístico SPSS 20. Primero se analizaron los datos de cada sitio para detectar diferencias entre ellos y luego se analizaron por época del año. Al realizar la prueba de normalidad a los datos se determinó que se podía realizar la prueba de ANOVA a los datos de la época lluviosa, pero a los de la época seca tuvo que aplicarse una prueba de Krukal – Wallis (KW). Para comparar las épocas del año se utilizó una prueba de U de Mann – Whitney. También se hizo una correlación de Spearman entre los enterococos y las variables fisicoquímicas (pH, temperatura, conductividad y SDT).
Análisis de Enterococcus
Los resultados de los recuentos por el método de NMP con Enterolert-DW fueron promediados y los valores se observan en uno de los recuadros de la Figura 2. El ANOVA para los Enterococcus mostró que todos los sitios en la época lluviosa eran iguales (P > 0.05), y la prueba de KW para la época seca también demostró una igualdad en los sitios (P > 0.05).
Factores fisicoquímicos
El análisis estadístico con la prueba de ANOVA para pH, SDT y conductividad demostró una similitud entre los sitios de muestreo en la época lluviosa y en la seca (P > 0.05). Para la temperatura la prueba de ANOVA en la época lluviosa, y la de KW para la época seca demostraron que los sitios eran similares en sus mediciones (P > 0.05).
Con estos resultados se consideraron a todos los datos de los sitios de muestreo en cada época del año como parte de un solo grupo y se procedió a comparar los datos de la época lluviosa con los de la época seca.
Las medias de las diferentes variables estudiadas fueron diagramadas en gráficos de barras y se pueden observar en la Figura 3.
Análisis de Enterococcus
La prueba U de Mann – Whitney para los Enterococcus presentó un resultado exacto de P = 0.050. Al estar este resultado en la frontera de la significancia se prefirió determinarlo como significante, estableciendo diferencias entre las dos épocas del año, siendo la seca mayor en el número de estas bacterias indicadoras.
Factores fisicoquímicos
También a los factores fisicoquímicos se le aplicó una prueba de U de Mann – Whitney, obteniendo diferencias significativas en cada uno de ellos. Para el pH y la temperatura se obtuvo una P < 0.000, para la conductividad la P = 0.015 y para los SDT una P =
0.001. Lo que significa un pH mayor en la época
lluviosa; y una temperatura, conductividad y SDT mayores en la época seca.
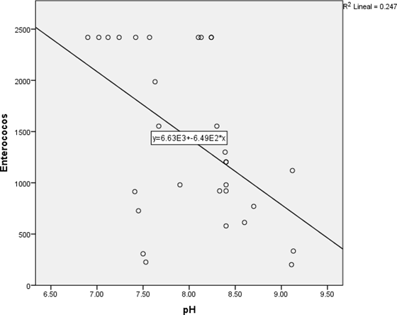
Al correlacionar los recuentos de enterococos con las otras variables no se encontró una correlación con la temperatura, conductividad y los SDT (P > 0.05); pero si con el pH (P = 0.007). Esta correlación resultó negativa (Figura 4).
![]() |
|||
![]() |
|||

![]()
Comparación de las medias de los datos obtenidos
en las diferentes épocas del año. En su
orden, rotulados en el título: Enterococcus, pH, temperatura, SDT y
conductividad.
|
|
Enterococcus
1091
Lluviosa Época del año |
1750 |
|
pH 8.45
Lluviosa Época del año |
|
|
|
|
8.5 |
|
||
|
1000 |
|
|
7.6 |
||
|
500 |
|
7.5 |
|
||
|
0 |
|
7 |
|
||
|
|
Seca |
|
Seca |
|
|
|
|
|
|
26.8 |
|
||
|
|
|
|
|
|
|
|
||
|
|
|
|
|
|
1439 |
|
||
|
|
|
|
|
|
|
|
||


En los resultados microbiológicos se muestra un mayor recuento de enterococos en la época seca para la desembocadura conjunta de los ríos Pavo y Playita. Estudios en Costa Rica muestran similitudes y otros han
sido de contraste (González-Fernández et al. 2023). Resultados obtenidos en Colombia (Castillo et al. 2018a) mostraron variaciones en los recuentos microbiológicos en las épocas climáticas, resultando los coliformes totales y fecales más altos en la época de sequía, mientras que los enterococos fecales fueron
![]() |
mayores durante el periodo de lluvias en algunas estaciones de muestreo, mientras que en otras fue lo contrario. Estos resultados también varían en otros estudios, lo que se puede interpretar como influencia de factores múltiples como por ejemplo el estancamiento de los cuerpos de agua o mayor escorrentía en ciertos lugares (Bowen, Main, Farag & Biddle 2024).
Aunque el nivel de Enterococcus se pueda presentar en niveles aceptables, su presencia es indicadora de un riesgo para la salud, ya que ellos son indicadores de posibles organismos patógenos para el ser humano. Es importante resaltar que la influencia de fuentes de contaminación fecal dadas por animales silvestres y domésticos no se correlaciona bien con los recuentos de
enterococos, por lo que estos resultados se asocian más a fuentes humanas (Bowen et al. 2024).
Los hallazgos de un pH mayor en la época lluviosa; y una temperatura, conductividad y SDT mayores en la época seca en la desembocadura de los ríos Playita y Pavo van de acuerdo con lo encontrado en otros estudios (Castillo, Fontalvo & Borja 2018b), quienes aseguran que el resultado indica una homogeneidad y estabilidad del sistema hídrico en relación con los SDT.
La no correlación entre los enterococos y los factores fisicoquímicos (temperatura, conductividad y SDT) indicó que en esta región no hay influencia de estos factores en la presencia de estos microorganismos, lo que también fue demostrado para coliformes fecales y
enterococos (Cabot et al. 2024; Castillo et al. 2018b). En cambio, sí se encontró una correlación negativa con el pH, es decir que a medida que el pH se presentó más elevado disminuyó significativamente la presencia de enterococos. Este resultado contrasta con el encontrado por otros autores en ríos de Colombia (Castillo et al. 2018a). Hay que recalcar que el ambiente abordado en este estudio tiene mucha influencia del mar, esto produce una alcalinidad mayor.
Los resultados observados están dentro de normas establecidas internacionalmente y en Panamá como el decreto DGNTI-COPANIT 21-393-99 de la Gaceta Oficial de Panamá (MICI 1999), pero la presencia de estos indicadores alerta sobre posibles patógenos que pueden estar llegando constantemente a estos ambientes. El aumento de las infecciones causadas por diversos patógenos por el uso de aguas recreacionales, indica que son necesarias las medidas de control y tratamientos de las aguas para mantener su buen estado; y que el monitoreo de estos cuerpos de aguas debe seguir haciéndose (Jiang et al. 2024; Bourli et al. 2023).
Los niveles de enterococos observados demuestran la contaminación fecal de origen humano en los sitios muestreados. Esto indica que existe un riesgo que debe ser tomado en cuenta para evitar problemas con agentes patógenos; no solo en el sitio de estudio, sino también en otros lugares similares.
Los valores obtenidos para el pH, temperatura, conductividad y SDT son cónsonos con los esperados, dada la influencia de las aguas del mar en el lugar. Por ejemplo, la correlación negativa entre pH y enterococos es resultado del ambiente salobre de la mezcla con aguas del mar, lo que alcaliniza al agua. El Golfo de Montijo es un ecosistema marino con muchos sedimentos que afectan a estas variables y a otras como la turbiedad del agua.
Es importante que este tipo de monitoreos sigan realizándose para tener fundamentos a la hora de la toma de decisiones en el manejo de los ecosistemas acuáticos, tan importantes para el desarrollo de nuestros países. En el caso de Panamá, los resultados obtenidos serán útiles a las autoridades como el Ministerio de Ambiente y al Ministerio de Turismo para tomar acciones que
preserven la vida silvestre y el atractivo turístico de estos ambientes naturales.
En el futuro sería recomendable seguir monitoreando estas regiones del Sur de Veraguas, sobre todo las que tienen influencia en el Golfo de Montijo y el Parque Nacional Coiba. El aumento de la contaminación provocada por el mal manejo y abuso de los ríos pueden deterior estos ecosistemas, los cuales son necesarios para mantener las relaciones ecológicas del lugar y la capacidad de estos proporcionar recreación a los visitantes.
Los autores agradecen a la Secretaría Nacional de Ciencia, Tecnología e Innovación (SENACYT) de Panamá por la cooperación de fondos obtenidos en convocatoria de investigación que fue obtenida por un grupo de investigadores del CRUV como parte de un proyecto interesado en el monitoreo de la biodiversidad en el Parque Nacional Coiba (VIP-16-04-10-2019-06). Con estos fondos fue posible obtener los equipos para la detección de Enterococcus de este estudio.
También se agradece al Centro de Innovación, Desarrollo de Tecnologías y Emprendimiento (CIDETE) del Centro Regional Universitario de Veraguas (CRUV) de la Universidad de Panamá por la organización de la capacitación ofrecida por el Prof. Estrella.
El agradecimiento al Dr. Jaime Estrella (Centro Nacional de Metrología de Panamá (CENAMEP AIP), facilitador del Curso-Taller IMRAD CIDETE 2025 por su asesoramiento en la mejora del estilo y la preparación del informe final de este estudio.
Badilla-Aguilar, A & Mora-Alvarado, D. (2019a.)
Calidad sanitaria de las aguas superficiales en
litorales de Costa Rica: situación del 2012 al
2018. Revista Tecnología en Marcha. 32:17–
25. doi.org/10.18845/tm.v32i10.4877.
Badilla-Aguilar, A & Mora-Alvarado, DA. (2019b.)
Análisis de la calidad bacteriológica de dos
playas tropicales: relación de indicadores de contaminación
fecal entre el agua de mar y las arenas. Revista en Marcha. 32:37–45. doi.org/10.18845/tm.v32i10.4879.
Bourli, P, Eslahi, AV, Tzoraki, O & Karanis, P. (2023).
Waterborne transmission of protozoan parasites:
A review of worldwide outbreaks - an update
2017-2022. Journal of Water and Health.
21(10):1421–1447.
doi.org/10.2166/wh.2023.094.
Bowen, M, Main, CR, Farag, IF & Biddle, JF. (2024).
Identifying potential introduced and natural
sources of pollution in Delaware watersheds.
Applied and Environmental Microbiology.
90(12):1–13. doi.org/10.1128/aem.01958-24.
Cabot, ME, Piccini, C, Inchausti, P, de la Escalera, GM
& García-Alonso, J. (2024). Relationships between
fecal indicator abundance in water and sand and
the presence of pathogenic genes in sand of recreational beaches.
Environmental Monitoring and Assessment. 196(11). doi.org/10.1007/s10661-024-13256-z.
Calvo, G, Mora, J & Mora-Molina, J. (2012).
Contaminación fecal en varios ríos de la Gran Área Metropolitana y la Península de Osa. Revista Tecnología en Marcha. 25(4):33. doi.org/10.18845/tm.v25i4.617.
Campaña, A, Gualoto, E & Chiluisa-Utreras, V.
(2017).
Evaluación físico-química y microbiológica de
la calidad del agua de los ríos Machángara y
Monjas de la red hídrica del distrito
metropolitano de Quito.
Bionatura. 2(2):305–310. doi.org/10.21931/rb/2017.02.02.6.
Castillo, YMB, Fontalvo, JAL & Borja, IMR. (2018a.)
Bacteriological quality of the water of the
manaure and casacara rivers, department of
Cesar, Colombia.
Revista Luna Azul. 46(46):106–124. doi.org/10.17151/luaz.2018.46.7.
Castillo, YMB, Fontalvo, JAL & Borja, IMR. (2018b.)
Bacteriological quality of the water of the
manaure and casacara rivers, department of
Cesar, Colombia.
Revista Luna Azul. 46(46):106–124. doi.org/10.17151/luaz.2018.46.7.
Chan-Quijano, JG, Jarquín-Sánchez, A, Ochoa-Gaona,
S, Bautista-Zúñiga, F, Martínez-Zurimendi, P &
Yadira López-Chávez, M. (2013). Especies
vegetales útiles para fitorremediar suelos
contaminados con hidrocarburos totales del
petróelo: un apoyo para la restauración
ecológica. Red Iberoamericana y del Caribe de
Restauración Ecológica . 7(3):11–14.
Cutillas, PP, Álvarez, JPA, Ortega, EFS, García, CC &
Cabañero, JJA. (2019). Environmental
degradation and its effects on the pollution of
surface water in conchos river basin
(Chihuahua-mexico). Cuadernos Geograficos.
58(1):47–67.
doi.org/10.30827/cuadgeo.v58i1.6636.
González-Fernández, A, Symonds, EM, Gallard-
Gongora, JF, Mull, B, Lukasik, JO, Rivera
Navarro, P, Badilla Aguilar, A, Peraud, J, et al.
2023. Risk of
Gastroenteritis from Swimming at a
Wastewater- Impacted Tropical Beach Varies
across Localized Scales. Applied and
environmental microbiology.
89(3):e0103322. doi.org/10.1128/aem.01033-22.
Han, Z, Tian, T & Zhang, Y. 2025. Development of a
High-Throughput qPCR Assay for Detecting Waterborne Protozoa and Helminths Across Different Environmental Media in China. Chinese Center for Disease Control. 7(3):100–106. doi.org/10.46234/ccdcw2025.016.
Jiang, Y, Yuan, Z, Wang, Y, Zhang, J, Shen, Y, Cao, J,
Jiang, Y, Yuan, Z, et al. 2024. Wastewater-
based intestinal protozoa monitoring in
Shanghai, China.
Microbiology Spectrum. 12(11):1–13.
MICI. (1999). Reglamento Técnico DGNTI-COPANIT
21-393-99. Gaceta Oficial. 1–9.
Mora-Alvarado, DA, Vega-Molina, J & González-
Fernández, (2019). Evaluación de riesgo
sanitario de las playas de
Costa Rica Periodo 2010-2017. Revista
Tecnología en Marcha. 32
(Dic. Especial):97–110.
doi.org/10.18845/tm.v32i10.4884.
Morales, R. (1999). Miembros Participantes
Coordinador. 1–7.
Pauta, G, Velasco, M, Gutiérrez, D, Vázquez, G,
Rivera, S, Morales, Ó & Abril, A. (2019).
Evaluación de la calidad del agua de los ríos
de la ciudad de Cuenca, Ecuador. Maskana.
10(2):76–88. doi.org/10.18537/mskn.10.02.08.
Pauta-Calle, G, Vázquez, G, Abril, A, Torres,
C, Loja- Sari, M & Palta-Vera, A. (2020).
Indicadores bacteriológicos de contaminación
fecal en los ríos de Cuenca, Ecuador. Maskana.
11(2):46–57. doi.org/10.18537/mskn.11.02.05.
Pérez, MD, Zhurbenko, IR, Rodríguez, ITL, Dianelys,
I, Pérez, Q, Claudio, II & Martínez, R. (2014).
Determinación cuantitativa de enterococos en
aguas utilizando un método cromogénico
alternativo Quantitative determination of
enterococci in water using an alternative
chromogenic method. 33(1):1–11.
Toro, M, Robles, S, Avilés, J, Nuño, C, Vivas, S,
Bonada, N, Prat, N, Alba-Tercedor, J, et al. (2002).
Calidad de las aguas de los ríos mediterráneos del proyecto GUADALMED. Características físico- químicas. Limnetica. 21(3–4):63–75. doi.org/10.23818/limn.21.18.